Introduction
Benign breast lesions (BBLs) such as fibroadenoma and mammary adenosis are the most common diseases in adult women, usually presenting as multiple and bilateral masses [1]. At present, there is still no standard on when and how to treat benign lesions in the breast. It is generally believed that it requires removal when the lesion volume is greater than 2 cm [2]. Small asymptomatic breast lesions generally tend to be treated with conservative management with regular follow-up, which should be accompanied by auxiliary examination (i.e., ultrasound and/or mammography) every 3–6 months [3]. However, many BBLs need to be excised due to obvious symptoms, progressive enlargement, and potential canceration [2]. Currently, surgery is the most common treatment, but it often has unsatisfactory cosmetic outcomes, such as scar formation, breast volume loss, and potential for nipple-areolar distortion or displacement [4, 5].
At present, vacuum-assisted resection (VAR) is a recognized minimally invasive alternative therapy for benign breast lesions. By using a rotation knife to continuously cut breast lesions, small lesions can be removed [6]. The advantages of this treatment are that it has a good cosmetic effect, shorter operation time, and less blood loss [7]. However, its main disadvantage is that it is easy to have residual lesions, especially for large lesions [8]. The main complications are intraoperative bleeding and postoperative hematoma [9]. The risk of complications increases with the increase in lesion volume [10–13]. Therefore, it is more suitable for the treatment of lesions less than 2 cm in diameter [9]. With the development of minimally invasive techniques [14], several minimally invasive ablation techniques have been applied to the treatment of benign breast lesions, including cryosurgery, laser ablation, and thermal ablation. Among them, microwave ablation has attracted widespread attention in recent years. MWA is a thermal ablation technique that has been applied for many tumors, especially liver and lung tumors [15, 16]. However, as a relatively new technique, it still has many doubts. For example, whether the ablation zone due to extensive coagulation necrosis can be absorbed by the body, which may form palpable lumps and cause discomfort and anxiety to patients, is unclear [17]. To determine the safety and efficiency of MWA in the treatment of benign breast tumors, it is necessary and timely to collect published data and perform a meta-analysis.
Aim
The aim of this comprehensive meta-analysis including both English and Chinese databases was to evaluate the efficacy and safety of microwave ablation in the treatment of benign breast lesions, providing clinicians with more treatment options.
Material and methods
This meta-analysis was conducted in accordance with the PRISMA statement [18]. The study was prospectively registered with the PROSPERO database (Registration CRD42020201025 http://www.crd.york.ac.uk/PROSPERO/).
Search strategy
We conducted a comprehensive literature search in PubMed, Embase, Web of Science, Cochrane Library databases, China National Knowledge Infrastructure, and Wanfang Data Knowledge Service Platform databases from their inception until 31 July, 2021. The following search terms were used: (benign breast disease OR benign breast tumors OR benign breast lesions OR fibrocystic disease OR fibroadenomas OR breast nodules OR mammary nodule OR intraductal papilloma OR breast cysts) AND (microwave ablation). The search was limited to human subjects, and no language restriction was imposed. We also manually searched the reference lists of included trials and reviews until no potential eligible trials could be found.
Selection criteria
The inclusion criteria were as follows: (1) Population: patients diagnosed with benign breast lesions according to auxiliary examination (i.e., ultrasound, mammography and magnetic resonance imaging) and biopsy who underwent MWA for treating BBLs. Studies that contained more than five consecutive patients were included. (2) Study design: retrospective or prospective studies were both included. (3) Outcomes: The results were reported including ablation success rate, volume reduction, cosmetic satisfaction and complications.
The exclusion criteria were as follows: (1) Participants were animals. (2) Case reports and series with a sample size less than 5 relevant patients. (3) Review articles, editorials, letters and comments. (4) Absence of primary outcome data: ablation success rate, volume reduction, cosmetic satisfaction and complications. (5) Studies with overlapping patients and data.
Study quality assessment and data extraction
The Newcastle–Ottawa scale (NOS) was used to assess the quality of the nonrandomized studies, including prospective and retrospective studies. Each study considered to be a suitable candidate for inclusion in the meta-analysis was awarded a ‘star’. A high-quality study was defined as a study with five or more stars in total.
All clinical trials assessing the efficacy and safety of MWA as a minimally invasive strategy for benign breast lesions were considered eligible for analysis. Two authors independently screened the literature. The recorded data included: (a) study characteristics: first author, year of publication, hospital, duration of patient recruitment and sample size and (b) patients’ demographic and clinical characteristics: mean age, lesion size, pathology, composition, complete ablation success rate, first complete ablation success rate, volume reduction ratio (VRR), disappearance rate, efficiency rate, cosmetic satisfaction rate and complication rate. When the same cohort was reported in several publications, the study with the latest and most informative data was included.
In general, conventional US and contrast-enhanced US (CEUS) were performed to evaluate the masses before and after ablation. Complete ablation success was defined as the tumor being covered completely by the ablation zone and no enhancement in the ablation zone in CEUS after ablation [19, 20]. First complete ablation success was defined as complete ablation achieved after only one ablation [21]. The volume-reduction ratio (VRR) was calculated by the following equation: VRR = (initial volume – final volume) × 100/initial volume [22, 23]. For efficiency (rate), a volume reduction rate greater than or equal to 50% was defined as effective [24–26]. Disappearance (rate) was defined as the ablation zone completely disappearing in US and CEUS during follow-up [24–26]. Cosmetic satisfaction (rate) was rated as excellent, excellent, acceptable, or poor, which was based on patients’ subjective feelings without a specific scale. For pain, we only considered severe pain during the operation as a complication, while slight pain and burning sensations were not considered as complications.
Statistical analysis
For each included study, the volume reduction rate, lesion disappearance rate, and efficiency rate (volume reduction rate ≥ 50%) after therapy were used as the main indices for this meta-analysis. The complete ablation success rate, cosmetic satisfaction rate, and complication rate were used as the secondary indices. The 95% confidence interval was used. If some studies summarized the volume reduction rate as a median, we referred to the methods in the literature to convert it to the mean plus or minus the standard deviation [27]. Heterogeneity among the studies was determined by the χ2 test for pooled estimates (p < 0.05 indicated significant heterogeneity) and inconsistency index I2 values of 25%, 50% and 75% were considered to suggest low, moderate and high heterogeneity, respectively [28]. If the test of heterogeneity indicated p ≥ 0.05, we chose the fixed-effects model; otherwise, the Der-Simonian–Laird random-effects model was used for analysis [29, 30]. Funnel plots were used to visually assess publication bias, and Egger’s test was used to further evaluate statistical significance [31]. The meta-analysis of Stata15.0 with the ‘metaprop’ package was used to perform the statistical analyses.
Results
Literature search
The flow chart of the search strategy conducted in this meta-analysis is displayed in Figure 1. The literature search of the PubMed, Embase, Web of Science, Cochrane Library, China National Knowledge Infrastructure, and Wanfang Data Knowledge Service Platform databases generated 271 initial articles, of which 19 were eliminated based on duplication. Of the remaining 252 documents, 216 were removed after looking up the titles and abstracts, including 200 records that were not in the field of interest, 3 case reports, and 13 review articles. The full texts of the remaining 36 articles were retrieved. Twenty-six trials were excluded due to incomplete data (n = 19), duplication (n = 4), and lack of relevance (n = 3). Among duplicates, 4 articles [32–35] were excluded because they had the same clinical trial registration number (NCT02860104) as Yang et al. [23]. We thought that the data of these 4 studies coincide with those of Yang et al. [23]. Finally, 10 eligible studies, with a total sample size of 1241 patients and 2729 masses, were included in our systematic review meta-analysis [3, 22–26 36–39].
Characteristics of the included studies
The detailed characteristics of the 10 included studies are reported in Table I. The 10 studies included 7 prospective studies and 3 retrospective studies. In terms of the demographic characteristics of the patients included in the study, all of the patients were Chinese women and the mean age ranged between 14 and 69 years. The follow-up ranged between 12 and 24 months. In terms of the characteristics of the lesions, the diameter of the tumors ranged between 0.3 and 6.1 cm. All were identified as having a score of 4 or less by the Breast Imaging Recording and Data System (BI-RADS) and proved benign by core needle biopsy. Based on the NOS, the risk of bias was assessed. The 10 studies included presented moderate quality on the NOS. This may be because 8 articles were cross-sectional studies and only 2 were case-control studies, which resulted in lower scores for comparability.
Table I
Baseline characteristics of patients in the trials included in the meta-analysis
| First author (year of publication) | Country | Year | Age [years] | Number of patients | Number of masses | Tumor size [cm] | Follow-up [months] |
|---|---|---|---|---|---|---|---|
| Gang Liu (2021) [3] | China | 2017–2019 | 21–63 | 171 | 271 | 1.35 ±0.47 | > 12 |
| Jingyi Jia (2021) [39] | China | 2018–2020 | 20–48 | 22 | 95 | 0.3–4.6 | 12 |
| Qi Yang (2020) [23] | China | 2014–2018 | 18–65 | 440 | 755 | 1.0–6.1 | 13.7 |
| Xiaolu Liu (2020) [24] | China | 2017–2018 | 23–56 | 30 | 43 | 1.0–3.2 | 12 |
| Yue Wang (2020) [26] | China | 2016–2018 | 37–52 | 22 | 25 | 1.8–4.6 | 24 |
| Wei Zhang (2019) [22] | China | 2014–2018 | 17–69 | 314 | 725 | 1.1 ±0.5 | 18 |
| Yang Li (2018) [36] | China | 2015–2016 | 33.4±9.0 | 72 | 459 | 1.9 ±0.7 | 12 |
| Wei Zhang (2016) [37] | China | 2013–2015 | 18–51 | 109 | 183 | 0.4–3.3 | 12 |
| Zhongbin Zhou (2016) [38] | China | 2009–2012 | 25–37 | 16 | 37 | 0.9–2.6 | 12 |
| Xuefeng Yang (2016) [25] | China | 2014–2015 | 14–58 | 45 | 136 | 0.5–3.9 | 12 |
Meta-analysis results
Ablation success rate
Eight [22–25, 36–38] studies reported complete ablation success rates and all were 100%. Five studies [22, 24, 36, 37] reported the first complete ablation success rates and the rate among these studies ranged from 81.4% to 100%. The pooled estimate of the first complete ablation success rate was 96% (95% CI: 88–100%). There was significant heterogeneity (I2 = 95.66%), and a random-effects model was used (Figure 2).
Volume reduction rate, disappearance rate and efficiency rate
The VRRs after 3 months, 6 months, and 12 months were 47.4% (95% CI: 3.3–91.4%; I2 = 97.0%), 62.1% (95% CI: 29.9–61.7%; I2 = 93.8%), and 85.8% (95% CI: 68.5–103.1%; I2 = 85.1%), respectively (Figure 3). The lesion disappearance rate was 53.6% (95% CI: 38.5–68.8%; I2 = 96.6%). The efficiency rate was up to 99% (95% CI: 96–100%; I2 = 27.27%) after 12 months (Figure 4). A random-effects model was applied because significant heterogeneity was found among these studies.
Cosmetic satisfaction
Three studies reported cosmetic satisfaction. The cosmetic results of the skin texture, pigmentation, and wound were considered excellent, good, acceptable, and poor, which were based on patients’ subjective feelings without a specific scale. The rate of excellent cosmesis was 88% (95% CI: 85–91%; I2 = 0.0%), and the rate of good cosmesis was 10% (95% CI: 8–13%; I2 = 0.0%) (Figure 5). In the study of Yang et al. [23], 7 patients described satisfaction after treatment as acceptable. The acceptable esthetic outcomes were attributed to the scar of the needle hole for a thermal skin injury (n = 3) and scar diathesis (n = 4). A fixed-effects model was applied because slight heterogeneity was found among these studies.
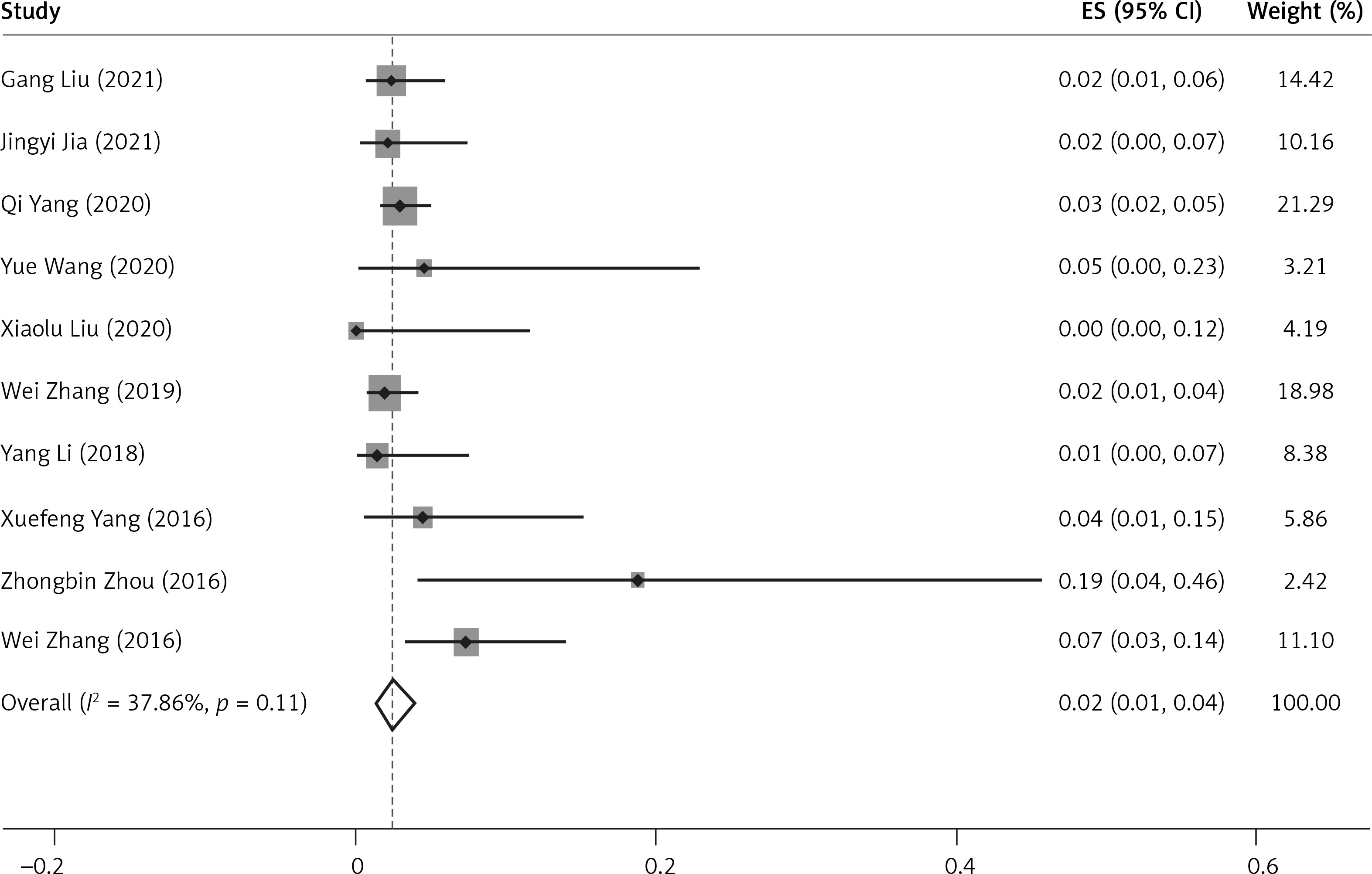
Complications
All ten studies reported complications. Three minor complications were reported, including local erythema or swelling (1.45%, 18/1241), fat liquefaction (0.81%, 10/1241) and skin scalding (0.56%, 7/1241). The complication rate demonstrated overall pooled proportions of 2% (95% CI: 1–4%; I2 = 37.86%) (Figure 6). A fixed-effects model was applied because slight heterogeneity was found among these studies.
Publication bias
Funnel plots and the Egger test were used to evaluate publication bias for complication rate, and the results revealed that no potential publication bias existed among the included studies (p = 0.311, p > 0.05) (Figure 7, Table II).
Table II
Newcastle-Ottawa scale for the observational studies
| Study | Year | Selection (up to 4) | Comparability (up to 2) | Outcome (up to 3) |
|---|---|---|---|---|
| Gang Liu et al. [3] | 2021 | 3 | 0 | 3 |
| Jingyi Jia et al. [39] | 2021 | 2 | 0 | 3 |
| Qi Yang et al. [23] | 2020 | 3 | 0 | 3 |
| Xiaolu Liu et al. [24] | 2020 | 3 | 1 | 3 |
| Yue Wang et al. [26] | 2020 | 2 | 0 | 3 |
| Wei Zhang et al. [22] | 2019 | 3 | 0 | 3 |
| Yang Li et al. [36] | 2018 | 3 | 1 | 3 |
| Wei Zhang et al. [37] | 2016 | 3 | 0 | 3 |
| Zhongbin Zhou et al. [38] | 2016 | 1 | 0 | 3 |
| Xuefeng Yang et al. [25] | 2016 | 2 | 0 | 3 |
Discussion
MWA is a thermal ablation technique that has been applied for benign and malignant tumors. The principle of MWA is that electromagnetic radiation in the microwave frequency range heats the material by stirring the water molecules in the surrounding tissues, generating friction and heat, and causing cell death through coagulation and necrosis [40]. Compared with radiofrequency ablation, the advantages of MWA are higher constant intratumoral temperatures, larger ablation volumes, shorter ablation times, a more uniform shape of the coagulation zone, and the ability to use multiple probes to treat multiple lesions simultaneously [15]. The breast is an ideal organ for ablation therapy because it is superficial and can be effectively monitored by ultrasound [41]. Furthermore, in MWA, tumor cells with high water content are heated and destroyed during the ablation process, and tissues with low water content such as fat and normal breast tissues will not be harmed [42, 43].
In this meta-analysis, complete ablation success rates ranged from 81.4% to 100% and the first complete ablation success rate was 96% (95% CI: 88–100%). This result indicated a high rate of complete lesion ablation for patients receiving MWA. Correct placement of the probe and accurate ultrasonic imaging are the most important factors for successful MWA [20]. After microwave ablation, coagulated necrotic areas will be formed, which will lead to palpable lumps in some people [23]. Therefore, whether the coagulated necrotic areas can be absorbed by the body is one of the key problems of this technology. Volume reduction ratio (VRR) was used to evaluate the absorption. The VRR after 3 months, 6 months, and 12 months was 47.4%, 62.1%, and 85.8%, respectively. The lesion disappearance rate was 53.6% and the efficiency rate was 99% after 12 months. In the studies of Yang et al. [23], Yu et al. [33], and Xu et al. [34], a median volume reduction rate of more than 90% was observed at 12–24 months. These results showed that the ablation zone volume of lesions decreased significantly with time after microwave ablation. From the long-term follow-up results, the microwave ablation treatment effect is good.
In the studies of Yang et al. [23], Yu et al. [32], and Xu et al. [34], it was observed that the volume reduction rate of the < 2 cm group was better than that of the > 2 cm group, and the chance of disappearing after treatment was higher, which indicated that microwave ablation is more effective in the treatment of small lesions, while tumor volume changes in the treatment of larger lesions were also significant. We also found that lesions that were smaller than 1 cm were included in some studies. The reasons for treating lesions < 1 cm in size include (1) the suspicion of the possibility of a bad change, such as intraductal papilloma with bleeding from the nipple, and (2) obvious symptoms and anxiety, which have an impact on the lives of patients. As a common benign disease itself, strict ablation indications should be followed. Unnecessary or excessive treatment should be avoided.
In terms of cosmetic satisfaction, 88% of patients rated the cosmetic effect of microwave ablation as excellent. The remaining 10% of patients rated the cosmetic results as good. The VAR satisfaction rate reported in the literature was 99% [9]. They had similar cosmetic satisfaction. The incidence of complications in this meta-study was 2%, which is lower than that of VAR (7.02%) [9]. The most common complication of microwave ablation is skin scalding. However, there were few patients with skin burns in the five included studies. This may be related to the injection of 5% saline during the microwave ablation process, which formed an isolation zone to avoid damage to the surrounding skin and tissues. A lower microwave power of 20–30 W was used in the breast to avoid thermal injury. In previous studies, the distance between the lesions and the skin or chest wall was also an important factor. A distance that is too close may affect the ablation effect and cause skin burns [44] In the 3 studies included [23, 32, 34], the lesions adjacent to the skin, pectoralis, or areola also obtained satisfactory clinical outcomes after percutaneous MWA, which may be due to the use of pullback technology and hydro dissection techniques during the operation. This result suggested that MWA may not be location-limited in the treatment of benign breast lesions if performed properly and with adequate protection.
One of the problems with microwave ablation is the inability to extract tissues for biopsy. The included studies did not use core needle biopsy (CNB) in all patients, but in lesions that may be suspected of malignancy (BI-RADS grade 4a). For lesions of BI-RADS grade 3 and below, is it safe to perform MWA without histological evaluation? In a study of 2245 women with breast-nodular abnormalities [45], vacuum-assisted excision biopsy was performed to obtain histopathological results. The malignancy rate in BI-RADS grade 3 lesions is only 1.9%, which indicated that the overwhelming majority of BI-RADS grade 3 cases were unnecessarily subjected to biopsy. At the same time, MWA has the effect of causing coagulative necrosis of malignant tumor cells through high temperature. It has been widely used in malignant tumors such as liver cancer and lung cancer [46]. MWA is a promising local therapy for early-stage breast cancer, which induces a Th1-type immune response with activation of the ICOS pathway [47]. Therefore, it can be considered that MWA is relatively safe even in a very small number of BI-RADS grade 3 malignant lesions, but long-term imaging follow-up observation after MWA is necessary. However, for lesions of BI-RAD grade 4a, the probability of malignancy is greatly increased [45], so it is necessary to obtain histopathological results by CNB or vaccum-assisted (VAB) before microwave ablation. This would bring additional costs to the patient in addition to ablation. In Europe, the total costs were €225.09 for core biopsy [41]. At the same time, CNB has the disadvantage of histological underestimation, which renders the management of atypical ductal hyperplasia, papillary lesions, and fibroepithelial lesions somewhat difficult [48]. In the study conducted by Fernández-García et al. [49], for general lesions, the overall percentage of correct diagnoses was 91.81% for core biopsy, and lower than 94.03% for vacuum-assisted biopsy. For lesions with microcalcification, the percentage of true diagnosis of vacuum-assisted biopsy (96.7%) was much higher than that of CNB (50%). In the study conducted by Huang et al. [50], VAB gained a significantly lower DCIS underestimation rate (11.05%) than CNB (22.98%), and the difference was statistically significant. Compared with MWA, the advantage of VAR is that it can remove benign lesions while extracting tissue for biopsy, which plays an efficient role in excluding malignant lesions [8, 51, 52]. Therefore, for lesions suspected of being malignant, VAR seems to be a more cost-effective and safe choice [53]. However, both surgery and VAR will cause tissue defects. In addition, they not only easily cause skin depressions, but may also affect future breastfeeding functions. They are not very suitable for women with multiple benign breast lesions. Microwave ablation may be a good option for the minimally invasive treatment of patients with multiple benign lesions of BI-RADS grade 3 and below.
This study has some limitations: (1) There are few studies on the treatment of benign breast lesions with MWA. The number of studies included was limited. Moreover, the articles meeting the inclusion criteria were more concentrated in one geographic area and some overlapping of authorship existed. We excluded articles with duplicate authors and overlapping research times. (2) Since two studies adopted the conversion from the median to mean plus or minus the standard deviation, there was some error in the results of the meta-analysis of data. (3) This article is a single-group rate meta-analysis that can only describe the effectiveness and safety of microwave ablation for the treatment of benign breast lesions and cannot be directly compared with other treatment methods. In the future, large sample size randomized controlled trial studies are needed to prove its therapeutic advantage.
Conclusions
This meta-analysis showed that MWA could be a promising alternative option for benign breast lesions since it has a good volume reduction rate, high complete ablation success rate, excellent cosmetic satisfaction rate, and low complication rate. However, considering that this study was conducted on small and nonrandomized controlled trials, the efficacy and safety should be confirmed with large-scale, well-performed trials.








