Purpose
Lung cancer remains a leading cause of cancer-related deaths globally, with approximately 30% of patients being initially diagnosed with locally advanced disease [1]. Common treatment methods for advanced lung cancer include radiotherapy [2], chemotherapy [3], iodine-125 (125I) particle implantation brachytherapy [4], immunotherapy [5], and targeted therapy [6]. In recent years, with the continuous advancement of medical technology, particle implantation brachytherapy has gained attention as an emerging radiotherapy modality. Among these, 125I particle implantation brachytherapy is particularly noteworthy for its precise delivery of high-dose radiation to tumor tissues, which can reduce damage to surrounding normal tissues and consequently lead to improved treatment outcomes.
Despite the variety of treatment options available for lung cancer, challenges persist for patients with advanced-stage disease. When tumors reach an uncontrollable stage, some patients face significant reduction in their survival time or lower quality of life due to factors, such as intolerance to surgical treatment, refusal of surgical intervention, recurrence after radiotherapy or chemotherapy, failure of targeted therapy, or immunotherapy drug matching, etc. In this context, 125I particle implantation brachytherapy, as a novel treatment approach distinguished by its high precision and low side effects, has gained attention [7]. However, the application and effectiveness of 125I particle implantation brachytherapy in patients with advanced lung cancer require further in-depth investigation and exploration.
The objective of this study was to comprehensively analyze the effectiveness of application of 125I particle implantation brachytherapy in patients with advanced lung cancer, investigate its impact on patients’ overall survival (OS) and progression-free survival (PFS), and develop a nomogram predictive model based on these data. This predictive model can assist clinicians in more accurately assessing patients’ survival probabilities, formulating personalized treatment plans, and ultimately enhancing treatment outcomes and quality of life for patients.
Material and methods
Data collection
Utilizing convenience sampling, late-stage lung cancer patients who underwent 125I radioactive particle implantation brachytherapy in the Department of Nuclear Medicine at the General Hospital of Northern Theater Command from December 2013 to June 2019 were selected as the study population. A total of 436 patients were randomly divided into a training set and validation set in a 7 : 3 ratio, with 305 patients in the training set and 131 patients in the validation set.
Inclusion criteria: 1) Patients with pathologically diagnosed non-small cell lung cancer (NSCLC); 2) Staged as stage III or IV NSCLC according to 8th edition of the International Association for the Study of Lung Cancer (IASLC) staging system; 3) No additional anti-tumor therapy within 5 years after 125I radioactive particle brachytherapy; 4) Patients intolerant to surgical treatment or refusing surgical intervention; 5) Patients with a recurrence after radiotherapy or chemotherapy, or refusing radiotherapy or chemotherapy; 6) Cases with failed targeted therapy or immunotherapy drug matching.
Exclusion criteria: 1) Concurrent malignant tumors; 2) Severe organ dysfunction, such as stage III or above chronic renal insufficiency, cirrhosis, or bone marrow dysfunction; 3) Acute illness phase (infection, acute myocardial infarction, acute cerebral infarction, etc.).
Written informed consent was obtained from all patients, and the study received approval from the Ethics Committee of the General Hospital of Northern Theater Command of the Chinese People’s Liberation Army (ethics approval No.: YLS No. (2019) 69).
Outcome measures and follow-up
Data collection included patient demographics (age, gender), smoking status, tumor pathological type, T stage, N stage, M stage, tumor longitudinal diameter taken from chest CT one week before surgery, location of the tumor within the lung lobe and segment, pre-operative complications (pulmonary atelectasis, obstructive pneumonia, superior vena cava obstruction syndrome, cough, sputum production, chest tightness, dyspnea), pre-operative laboratory indicators (carcinoembryonic antigen, neuron-specific enolase, cytokeratin 19 fragment, squamous cell carcinoma antigen, white blood cell count), pre-operative dosimetry indicators (pre-operative planning target volume [PTV], maximum dose, average dose, D90, V100, D901cm, V1001cm, D902cm, V1002cm), number of implanted particles, surgical duration, number of puncture needle tracks, particle spacing, pre-operative radiotherapy status, and pre-operative chemotherapy status. Patient OS time and PFS time were also recorded.
Treatment methods
All patients underwent pre-operative comprehensive routine blood tests, liver and kidney function tests, coagulation tests, and infectious disease panel laboratory assays. Patients were positioned supine or prone on the CT examination table, and the site of tumor was identified on the body surface projection area. Particle implantation positioning grids were placed on the body surface at the projection site. A 5 mm thick CT scan was performed. CT images were transferred to treatment planning system (TPS; Beijing Feitian Zhaoye Technology Co., Ltd., China) for pre-operative planning. Referring to the guidelines for tumor radioisotope therapy, the prescribed dose was set at 130-140 Gy, and the radioactivity of radioactive 125I particles was set at 0.6-0.7 mCi (22.2-25.9 MBq). Pre-operative planning process involved outlining the total volume of planned tumor target area (planning target volume – PTV), organs at risk (OARs; normal tissues within 1 cm and 2 cm around the tumor receiving radiation), designing puncture path, insertion direction, and depth (avoiding important organs, such as blood vessels, trachea, and bones), simulating distribution of 125I particles in the lesion, generating dose-volume histograms (DVH) using TPS, and calculating dosimetric parameters. Following the pre-operative plan, CT positioning laser lines were opened, adjusted to the needle insertion site level, and the intersection point with the body surface positioning line was marked as the needle insertion point. Ensuring patient breathing phase alignment with the pre-operative phase, the puncture needle was inserted into the tumor through the puncture point. A repeat CT scan was conducted to confirm that the actual needle position matched the pre-operative plan, minimizing puncture errors to 2 mm. Subsequently, 125I particles were implanted according to the pre-operative plan. Post-operative CT images were transferred to TPS for verification and DVH generation, and relevant dose parameters were calculated.
Statistical analysis
Statistical analysis was performed using R 4.2.1 software. Normally distributed continuous data were presented as mean ± standard deviation, and categorical data were expressed as counts (percentages). Overall survival rates at 1, 3, and 5 years were calculated using a life table method. Survival analysis was conducted with Kaplan-Meier method, and survival rate comparisons were assessed using log-rank test to identify potential prognostic factors. Variables with a p-value < 0.05 in univariate analysis were included in a multivariate Cox regression analysis to establish a predictive model. A nomogram for OS and PFS was created based on the multivariate Cox regression model. Each independent prognostic factor corresponded to a specific score, which contributed to the total score for individual patients. Receiver operating characteristic (ROC) curve demonstrated the predictive ability of nomogram. Calibration curve depicted the relationship between predicted long-term survival probability and actual long-term survival probability. Decision curve analysis was used to assess the clinical utility of nomogram model.
Results
Demographic and clinical characteristics of patients
A total of 600 advanced lung cancer patients treated in the Department of Nuclear Medicine, General Hospital of Northern Theater Command between December 2013 and December 2019 were included in the study, with 436 patients receiving 125I radioactive particle brachytherapy. The process of patient selection is shown in Figure 1. Following a 7 : 3 ratio, the 436 patients were randomly assigned to the training set (305 patients) and the validation set (131 patients). The percentage of patients receiving radiotherapy was 44.27%, and the percentage of patients receiving chemotherapy was 47.94%. The total survival time for patients was 1,113 ±391.11 days, and the PFS time was 200 ±100.03 days. Clinical characteristics, dosimetric features, and baseline data were well-balanced between the two groups (p > 0.05), as presented in Table 1.
Table 1
Baseline characteristics of patients with advanced lung cancer treated with 125I radioactive particle brachytherapy
Identification of prognostic factors affecting survival status in the training cohort
The training cohort was divided into two groups based on patient survival status, namely, survival and deceased. By comparing the data between these two groups, the prognostic factors influencing survival status were identified, and included age, planned target volume, maximum dose, mean dose, pre-operative D90, surgical duration, number of puncture needle paths, gender, smoking status, pre-operative TNM staging, lung collapse, superior vena cava obstruction syndrome, and chest tightness and shortness of breath (all with p < 0.001), as shown in Table 2.
Table 2
Deceased group and survival group data comparison
Univariate and multivariate analysis of OS and PFS in patients with advanced lung cancer
In the univariate and multivariate Cox proportional hazards model analysis of 436 patients for OS status, it was found that smoking (HR = 0.517, 95% CI: 0.303-0.882%, p = 0.016), lung collapse (HR = 1.858, 95% CI: 1.071-3.222%, p = 0.028), superior vena cava obstruction syndrome (HR = 1.333, 95% CI: 1.003-1.772%, p = 0.048), and surgical duration (HR = 0.969, 95% CI: 0.949-0.990%, p = 0.004) were significantly associated with OS and identified as independent prognostic factors (Table 3). For PFS status, the univariate and multivariate Cox proportional hazards model analysis revealed that planned target volume (HR = 0.828, 95% CI: 0.790-0.868%, p < 0.001), maximum dose (HR = 1.000, 95% CI: 1.000-1.000%, p = 0.029), mean dose (HR = 1.000, 95% CI: 1.000-1.000%, p = 0.048), pre-operative D90 (HR = 1.000, 95% CI: 1.000-1.000%, p = 0.013), V100 at 1 cm around the lesion (HR = 1.064, 95% CI: 0.990-1.144%, p = 0.090), and surgical duration (HR = 0.915, 95% CI: 0.901-0.929%, p < 0.001) were significantly associated with PFS and considered as independent prognostic factors (Table 4).
Table 3
Univariate and multivariate analysis of overall survival in patients with advanced lung cancer treated with 125I radioactive particle brachytherapy
Table 4
Univariate and multivariate analysis of progression-free survival in patients with advanced lung cancer treated with 125I radioactive particle brachytherapy
Construction of nomograms for OS and PFS in patients with advanced lung cancer treated with 125I radioactive particle brachytherapy
In this study, based on clinical importance and multi-variate Cox regression analysis, a nomogram was developed to predict 1-year, 3-year, and 5-year OS as well as 1-year PFS of patients with advanced lung cancer undergoing 125I radioactive particle brachytherapy. Each clinical feature in the graph was assigned a corresponding score, and the sum of scores for all variables equaled the total score. A lower total score indicated a better prognosis. Clinical predictions for OS and PFS of advanced lung cancer patients at different time points were based on total score, as shown in Figure 2. Figure 2A represents the nomogram for predicting 1-year, 3-year, and 5-year OS of patients with advanced lung cancer in the training set treated with 125I radioactive particle brachytherapy. Figure 2B depicts the nomogram for predicting 1-year, 3-year, and 5-year OS of patients in the validation set after treatment. Figure 2C demonstrates the nomogram for predicting 1-year PFS of patients with advanced lung cancer in the training set treated with 125I radioactive particle brachytherapy. Figure 2D illustrates the nomogram for predicting 1-year PFS of patients in the validation set after treatment.
Fig. 2
Nomogram for predicting 1-year, 3-year, and 5-year overall survival (OS) and 1-year progression-free survival (PFS) of patients with advanced lung cancer. A) Nomogram for predicting 1-year, 3-year, and 5-year OS of patients with advanced lung cancer in the training set treated with 125I radioactive particle brachytherapy. B) Nomogram for predicting 1-year, 3-year, and 5-year OS of patients in the validation set after treatment. C) Nomogram for predicting 1-year PFS of patients with advanced lung cancer in the training set treated with 125I radioactive particle brachytherapy. D) Nomogram for predicting 1-year PFS of patients in the validation set after treatment

Validation of the survival prediction model for advanced lung cancer patients
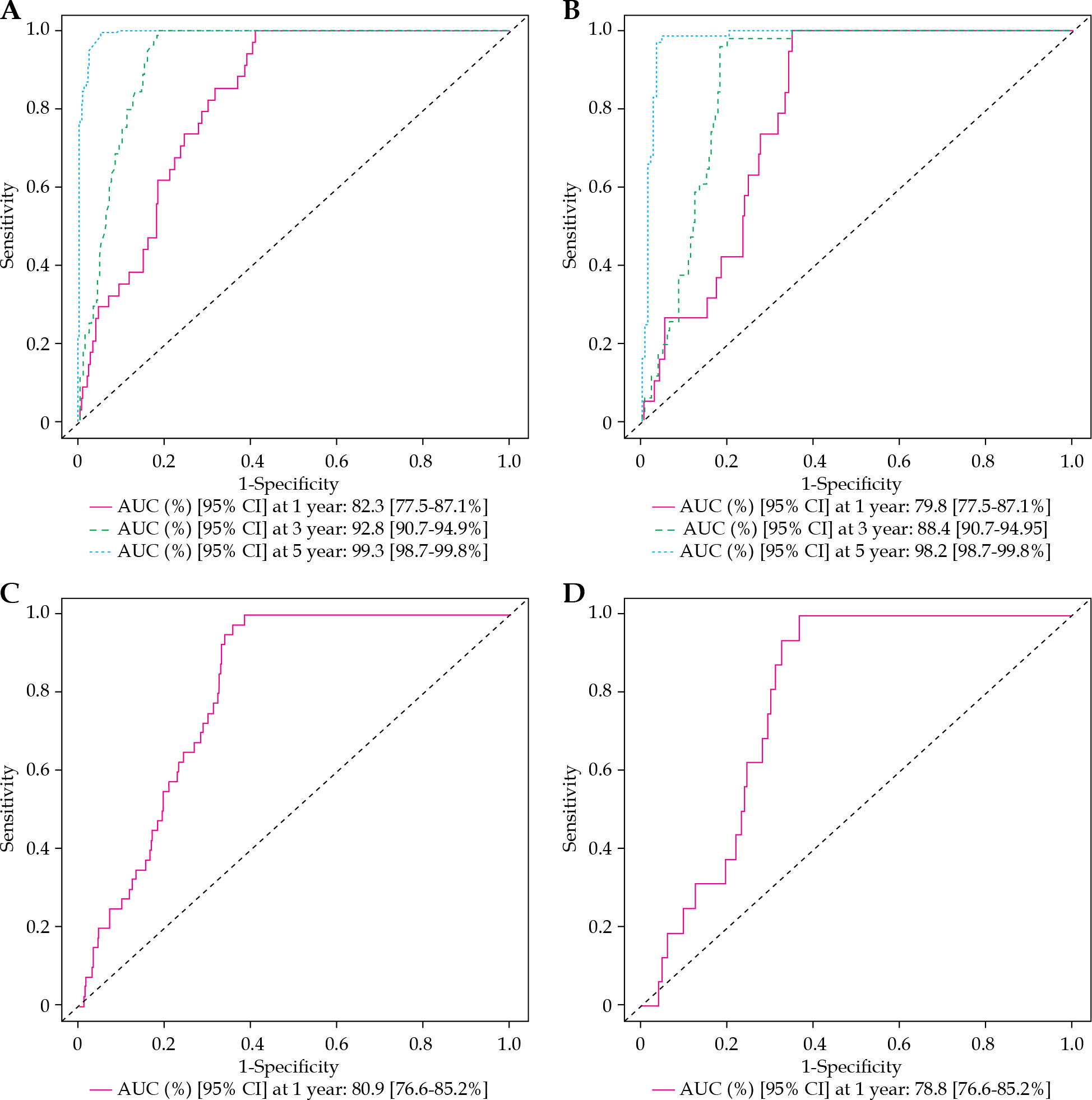
To validate the predictive capacity of the nomogram, this study used ROC curve, calibration curve, and decision curve analysis. Further validation using ROC curves revealed that area under curve (AUC) for 1-year, 3-year, and 5-year OS after 125I radioactive particle brachytherapy in the training set of advanced lung cancer patients was 0.82 (95% CI: 0.77-0.87%), 0.92 (95% CI: 0.90-0.94%), and 0.99 (95% CI: 0.98-0.99%), respectively, as shown in Figure 3A. AUC for 1-year, 3-year, and 5-year OS in the validation set was 0.79 (95% CI: 0.77-0.87%), 0.88 (95% CI: 0.90-0.94%), and 0.98 (95% CI: 0.98-0.99%), respectively, as illustrated in Figure 3B. AUC for 1-year PFS after 125I radioactive particle brachytherapy in the training set of advanced lung cancer patients was 0.80 (95% CI: 0.76-0.85%), as shown in Figure 3C. AUC for 1-year PFS in the validation set was 0.78 (95% CI: 0.76-0.85%), as demonstrated in Figure 3D. These results indicated that nomogram’s predictions for 1-year, 3-year, and 5-year OS as well as 1-year PFS in both the training and validation sets are reliable and exhibit good predictive ability. Decision curve analysis revealed favorable clinical utility for predictions of 1-year, 3-year, and 5-year OS as well as 1-year PFS (Figure 4). Regardless of threshold chosen, the OS and PFS models yielded significant net benefits. The calibration curves displayed strong correlations with ideal curve, suggesting that both models were accurate, as depicted in Figure 5.
Fig. 3
A) ROC curves for 1-year, 3-year, and 5-year overall survival (OS) of patients with advanced lung cancer after 125I radioactive particle brachytherapy in the training set. B) ROC curves for 1-year, 3-year, and 5-year OS of patients in the validation set after treatment. C) ROC curve for 1-year progression-free survival (PFS) of patients with advanced lung cancer after 125I radioactive particle brachytherapy in the training set. D) ROC curve for 1-year PFS of patients in the validation set after treatment

Fig. 4
Clinical decision curve for predicting 1-year, 3-year, and 5-year overall survival (OS) and 1-year progression-free survival (PFS) of patients with advanced lung cancer. A, B) Clinical decision curve for OS prediction model of patients with advanced lung cancer after 125I radioactive particle brachytherapy in the training set (A) and validation set (B). C, D) Clinical decision curve for PFS prediction model of patients with advanced lung cancer after 125I radioactive particle brachytherapy in the training set (C) and validation set (D)

Fig. 5
Calibration curve for predicting 1-year, 3-year, and 5-year overall survival (OS) and 1-year progression-free survival (PFS) of patients with advanced lung cancer. A, B) Calibration curve for the 1-year, 3-year, and 5-year OS prediction model of patients with advanced lung cancer after 125I radioactive particle brachytherapy in the training set (A) and validation set (B). C, D) Calibration curve for 1-year PFS prediction model of patients with advanced lung cancer after 125I radioactive particle brachytherapy in the training set (C) and validation set (D)

Survival benefits of 125I radioactive particle brachytherapy in advanced lung cancer patients stratified by different risk groups
As shown in Figure 6A, B, in the training set, patients with pre-operative lung collapse and superior vena cava syndrome had significantly shortened OS. Figure 6C demonstrates that in the validation set, patients who were smokers pre-operatively had significantly shortened OS. In Figure 7A-E, in the training set, patients with pre-operative planning target volume (PTV) > 15.7 cm3, intra-operative maximum dose > 133407.35 mCi, average dose > 34952.11 mCi, pre-operative D90 > 17935.71 cGy, and 1 cm V100 > 93.54% experienced significantly prolonged PFS, all with p < 0.05. In Figure 7F-K, in the validation set, patients with pre-operative PTV > 15.54 cm3, intra-operative maximum dose > 136387.33 mCi, average dose > 35343.6 mCi, pre-operative D90 > 18087.54 cGy, 1 cm V100 > 93.4%, and surgery duration > 44.21 minutes had significantly prolonged PFS, all with p < 0.05.
Long-term side effects or complications
During brachytherapy, several complications related to the procedure occurred (Table 5). Nine patients developed small, localized hematomas associated with the insertion of applicators through the lung, which could result from injury to small pulmonary vessels. In the process, 16 patients experienced 30-40% of pneumothorax with lung compression that recovered well after drainage. For patients who developed small, localized hematomas or pneumothorax after drainage, a hospital observation of 1-2 days was required. Seven patients experienced severe radiation pneumonia and were advised to use low-flow oxygen therapy for a long time after discharge. During follow-up, two patients experienced slight displacement of radioactive seeds, which did not trigger any related symptoms. No severe complications, such as massive bleeding, were observed.
Discussion
In late-stage lung cancer patients, with the cancer spreading to organs outside the lungs or lymph nodes, there are significant treatment challenges, with relatively low chances of cure. In terms of treatment strategies, the primary focus is on extending patient survival, alleviating clinical symptoms, and striving to improve quality of life. For patients who are unable to undergo surgical treatment, refuse surgery, experience recurrence after radiation or chemotherapy, or fail in matching of targeted drugs and immunotherapy medications, 125I radioactive particle brachytherapy is a feasible option [8, 9].
Iodine-125 particle brachytherapy is used in the treatment of various malignant tumors, including prostate cancer, breast cancer, head and neck tumors, etc. Especially in the field of prostate cancer treatment, this technique has been widely utilized, and proven to be an effective local treatment modality. In the context of late-stage lung cancer treatment, 125I brachytherapy also demonstrated its unique advantages, such as a relatively short treatment duration, good patient tolerance, and lower incidence of complications. The results of the current study indicate that patients with advanced lung cancer undergoing 125I radioactive particle brachytherapy had an average OS time of 1,113 ±391.11 days, with an average PFS time of 200 ±100.03 days. These data provide new reference points for the treatment of late-stage lung cancer, supporting better understanding and application of the value and potential of 125I particle brachytherapy in the management of late-stage lung cancer.
This study conducted rigorous analysis, and the results showed that smoking (HR = 0.517, 95% CI: 0.303-0.882%, p = 0.016), lung collapse (HR = 1.858, 95% CI: 1.071-3.222%, p = 0.028), superior vena cava obstruction syndrome (HR = 1.333, 95% CI: 1.003-1.772%, p = 0.048), and surgical duration (HR = 0.969, 95% CI: 0.949-0.990%, p = 0.004) were identified as independent and significant factors influencing patient OS. A nomogram predictive chart was constructed based on these factors. In a prognostic analysis of post-operative outcomes in late-stage lung cancer by Jin et al. [10], smoking and surgical duration also demonstrated good predictive values. Furthermore, studies by Zeng et al. [11], Zhu et al. [12], and Xu et al. [13] confirmed smoking as an independent risk factor affecting the prognosis of lung cancer patients, which is consistent with the results of the current study. The validation set of this study also showed a significant reduction in OS for patients who smoked pre-operatively (p < 0.05).
A research by Wang et al. [14] further confirms that pre-operative lung collapse can significantly impact the OS time of patients with lung squamous cell carcinoma after neoadjuvant chemotherapy and immunotherapy as an independent factor. Lung collapse, as an important prognostic factor, may lead to various symptoms, including cough, pleuritic chest pain, difficulty breathing, and even life-threatening conditions. A study by Liu et al. [15] also supports this viewpoint, suggesting that lung collapse and obstructive pneumonia can independently affect the OS time of patients with non-small cell lung cancer and lymph node metastasis, leading to the construction of a predictive nomogram.
It is worth noting that malignant tumor patients with superior vena cava obstruction syndrome generally have a poor prognosis, with a median survival time of only about 6 months [16]. In this study, among patients with superior vena cava obstruction syndrome who underwent 125I radioactive particle brachytherapy, a symptom relief rate of 34.76% was achieved, and this complication was confirmed as an independent predictive factor for predicting OS time. Furthermore, this study confirmed that in the training set, patients with pre-operative lung collapse and superior vena cava obstruction syndrome experienced a significantly shortened OS (p < 0.05). This finding addresses a research gap in the prognosis analysis of advanced lung cancer patients treated with 125I radioactive particle brachytherapy, providing a more comprehensive basis for clinical decision-making.
Following the analysis of PFS using univariate and multivariate Cox proportional hazards models, dosimetric data indicated that planning target volume (HR = 0.828, 95% CI: 0.790-0.868%, p < 0.001), maximum dose (HR = 1.000, 95% CI: 1.000-1.000%, p = 0.029), mean dose (HR = 1.000, 95% CI: 1.000-1.000%, p = 0.048), pre-operative D90 (HR = 1.000, 95% CI: 1.000-1.000%, p = 0.013), and V100 at 1 cm around the lesion (HR = 1.064, 95% CI: 0.990-1.144, p = 0.090) were significantly correlated with patients’ PFS, with all these features being independent influencing factors. These research findings underscore the importance of optimizing dose parameters in improving patients’ PFS rates, particularly emphasizing the significance of target volume and various dose indicators.
It is worth emphasizing that in the field of external beam radiation therapy, dose parameters have been scientifically validated as important independent predictors of post-operative complications and survival time in patients with advanced lung cancer [17] and esophageal cancer [18]. However, there is currently a lack of relevant reports on in-depth analysis of survival status in patients with advanced lung cancer undergoing 125I radioactive particle brachytherapy. This study, through comprehensive analysis of training set data, revealed that for patients with pre-operative planning target volume greater than 15.7 cm3, intra-operative maximum dose exceeding 133407.35 mCi, average dose exceeding 34952.11 mCi, preoperative D90 exceeding 17935.71 cGy, and V100 at 1 cm around the lesion exceeding 93.54%, there was a significant extension in PFS. Furthermore, a similar trend was robustly validated in the validation set: patients with pre-operative planning target volume greater than 15.54 cm3, intra-operative maximum dose exceeding 136387.33 mCi, average dose exceeding 35343.6 mCi, pre-operative D90 exceeding 18087.54 cGy, V100 at 1 cm around the lesion exceeding 93.4%, and surgical duration exceeding 44.21 minutes, also demonstrated a significant extension in PFS. This indicates that effective control of these specific parameters can significantly improve the survival time of patients with advanced lung cancer.
For clinical physicians, this is beneficial to extend patients’ PFS, and effectively alleviate patients’ pain or compression symptoms by moderately increasing planning target volume, maximum dose, average dose, pre-operative D90, and V100 at 1 cm around the lesion, while ensuring minimal radiation dose to surrounding critical organs. This can ultimately enhance patients’ quality of life. In addition to dose-related factors, this study identified surgical duration as one of the independent predictive factors influencing patients’ PFS, showing a positive correlation between prolonged surgical duration and extended PFS (HR = 0.915, 95% CI: 0.901-0.929%, p < 0.001).
The nomogram developed in this study for predicting the prognosis of patients undergoing 125I radioactive particle brachytherapy showed a high predictive performance, and can serve as an important supplementary tool for predicting OS and PFS in patients with advanced lung cancer receiving 125I radioactive particle brachytherapy.
Conclusions
The current study indicates that smoking, lung atelectasis, superior vena cava syndrome, and duration of surgery, are significant independent factors affecting OS in patients. Additionally, factors such as planned target volume, maximum dose, average dose, pre-operative D90, V100 within a 1 cm margin around the lesion, and surgery duration, are significantly correlated with PFS and act as independent influencing factors. The OS and PFS prediction models constructed based on these key factors provide valuable recommendations for clinical practice.



