Specjalizacje, Kategorie, Działy
Uproszczony schemat metabolizmu tamoksyfenu. CYP – izoenzymy cytochromu P450; SULT1A1 – sulfotransferaza 1A1; UGT – glukuronylotransferaza UDP; na podstawie [2]
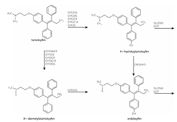
Uproszczony schemat metabolizmu tamoksyfenu. CYP – izoenzymy cytochromu P450; SULT1A1 – sulfotransferaza 1A1; UGT – glukuronylotransferaza UDP; na podstawie [2]

Farmakogenetyka w hormonoterapii raka piersi

Udostępnij:
Nowotwory złośliwe stanowią drugą co do częstości przyczynę zgonów w Polsce. Najbardziej rozpowszechnionym rodzajem nowotworu u kobiet, zarówno jeżeli chodzi o liczbę zachorowań (21,5%), jak i umieralność (13,1%), jest rak piersi. Choć nowoczesne metody diagnostyki i leczenia zdecydowanie wydłużają okres bez nawrotu choroby oraz poprawiają przeżywalność pacjentek, wciąż zdarza się, że przepisany lek nie przynosi satysfakcjonujących efektów. Farmakogenetyka, nauka zajmująca się badaniem związku różnych wariantów genów z odpowiedzią chorego na lek, pozwala zmniejszyć odsetek chorych, u których bardzo kosztowne terapie są nieskuteczne. W hor­monoterapii raka piersi obecnie najintensywniej badane są geny: CYP2D6, CYP3A4, CYP3A5, SULT1A1, UGT1A4, UGT2B15 i CYP19.
Artykuł dostępny wyłącznie dla:
lekarz, lekarz dentysta, lekarz w trakcie specjalizacji.
Zaloguj się, aby przeczytać pełną treść artykułu.
Login lub email:
Hasło:
Nie mam jeszcze konta
Utwórz darmowe konto Termedia.
Zarejestruj się
Nie pamiętam hasła
Skorzystaj z opcji przypominania hasła aby odzyskać dostęp do swojego konta Termedia.
Nie pamiętam hasła
 
© 2026 Termedia Sp. z o.o. All rights reserved.
Developed by Bentus.